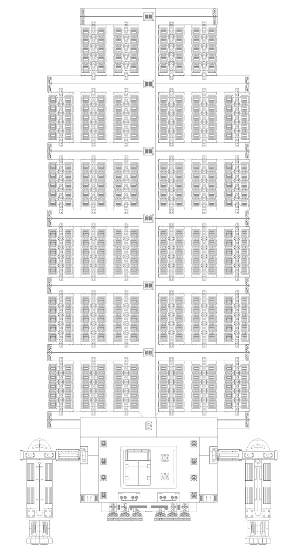
Finally got the first of my big freighter deck plans finished. This vessel is designed to carry 30Dton cutter modules over interstellar distances. It is built at Tech Level 12 and is capable of Jump 2. Maximum acceleration is 1G. It has a crew of thirty officers and men. It can carry 34 modules in dedicated docking ports plus 2 more in the two 50 Dton Modular Cutters. It also has a docking bay for two 20 Dton Launches. It also has hanger space for four small Cargo Tugs used for maneuvering modules into position. It is armed with eight laser turrets and two sand-caster turrets, all controlled from the bridge.
Deck Layout
Plan View of Vessel (large)
Deck One
Bridge Deck: Contains the bridge, main computer and the Captain’s quarters and office. A lift connects with Decks B and C.
Deck Two
Officer’s Accommodation: Staterooms for eleven officers and their wardroom. Lift connects with A (Bridge) and C (Crew) Decks.
Deck Three
Crew Quarters: Staterooms and facilities for the rest of the crew. This deck also has the main access to the module docking spine. The spine also contains fuel tanks. Modules only have access to the docking arms via their top deck airlocks. This deckplan shows a variety of modules – I mean I had to use all those deck plans I already had prepared (see here and here for for full plans for the modules shown). A Lift connects with B and A Deck. Port and Starboard are lifts that connect with all decks below this deck.
Deck Four
Boat Deck: Docking for the two 50-Dton cutters, two 20 Dton Launches and four Cargo Bugs. Also two small internal cargo bays. Port and Starboard lifts connect with C (Crew) Deck and lower decks.
Deck Five
Fuel Deck: Apart from a gangway, lift access and two fuel monitoring stations this deck is entirely given over to fuel storage.
Deck Six
Engineering: This deck contains drives and power plants. Also the workshops and stores required to keep the vessel running. Additional Cargo space is located here for small volume cargo, accessed through a cargo lock in the ship’s belly.













Leave a comment